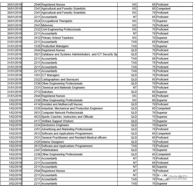
2019年度1月至9月份澳洲各州190州担保邀请情况!
小编带大家来看一下我们收到的澳洲各个州的190州担邀请数据,下面表格中包括获邀日期、职业代码、获邀职业名称、哪个州、获邀分数以及主申请人的英语水平,具体信息请见下表:
(考虑到文章长度限制,下列数据为部分截取,如需全部信息请您私信我们澳忠小助手~)
以上数据是我们公司从全部表格信息中截取出来的,大家可以参考表中数据来对比一下自己目前的情况,并随时联系澳忠小助手进行咨询哦